
![]() |
![]() |
Здравствуйте, Гость ( Авторизация | Регистрация )
![]() |
![]() |
![]() ![]() ![]() |
![]() |
![]() |
| mouse |
Jul 10 2013, 13:02
Создана
#19741
|
|
Постоянный ![]() ![]() ![]() ![]() Группа: Забанены Сообщений: 211 Зарегистрирован: 29-December 08 Из: МО.Одинцово,Голицыно Пользователь №: 7,187 Репутация: 25 кг |
кстати, никогда не юзал этот вектрограф, на моё понимание, работает по принципу как на Сигнумах- Годограф? или там другой принцип? нужен ли он вообще на дэусе?
-------------------- Жизнь хороша-капай не спеша!
|
![]() |
![]() |
![]() |
![]() |
| sid2008 |
Jul 10 2013, 13:05
Создана
#19742
|
|
Бывалый ![]() ![]() ![]() Группа: Забанены Сообщений: 122 Зарегистрирован: 26-March 13 Из: Минск Пользователь №: 54,615 Металлоискатель: Deus Xp 3.2 9" ,11" Пол: мужской Репутация: 18 кг |
QUOTE(mouse @ Jul 10 2013, 13:02) кстати, никогда не юзал этот вектрограф, на моё понимание, работает по принципу как на Сигнумах- Годограф? или там другой принцип? нужен ли он вообще на дэусе? Одни говорят нужен другие говорят нет (Скока людей стока и мнений как обычно ))) ) если б кто разжевал как с ним работать или ссылку там где разжевано кинул... |
![]() |
![]() |
![]() |
![]() |
| Делв |
Jul 10 2013, 13:40
Создана
#19743
|
|
Постоянный ![]() ![]() ![]() ![]() Группа: Забанены Сообщений: 251 Зарегистрирован: 24-April 12 Из: Сахалин Пользователь №: 42,428 Пол: мужской Репутация: 40 кг |
на работе прошился со второго раза.
вектограф? есть сходство с картинкой на МД АКА. А в чём лучше-не понял. Ну рисует линии, показывает число VDI. Ну так и на основном экране не меньше информации. послушаю тех, кто оценил вектограф в полях |
![]() |
![]() |
![]() |
![]() |
| владмир |
Jul 10 2013, 13:49
Создана
#19744
|
|
Профи ![]() ![]() ![]() ![]() ![]() ![]() Группа: Забанены Сообщений: 2,850 Зарегистрирован: 25-January 10 Из: Дикое поле. Пользователь №: 14,812 Пол: мужской Репутация: 158 кг |
ВДИ +звук+ кракозябры дают больше шансов не копать шмурдяк.
-------------------- Не ходите дети в Африку копать.
|
![]() |
![]() |
![]() |
![]() |
| mouse |
Jul 10 2013, 14:58
Создана
#19745
|
|
Постоянный ![]() ![]() ![]() ![]() Группа: Забанены Сообщений: 211 Зарегистрирован: 29-December 08 Из: МО.Одинцово,Голицыно Пользователь №: 7,187 Репутация: 25 кг |
QUOTE(владмир @ Jul 10 2013, 14:49) ВДИ +звук+ кракозябры дают больше шансов не копать шмурдяк. Впринципе - Железно -------------------- Жизнь хороша-капай не спеша!
|
![]() |
![]() |
![]() |
![]() |
| Goodwin |
Jul 10 2013, 16:06
Создана
#19746
|
|
Старожил ![]() ![]() ![]() ![]() ![]() Группа: Посетители Сообщений: 530 Зарегистрирован: 18-November 08 Из: The Мля Пользователь №: 6,588 Металлоискатель: XP Dēus Пол: мужской Репутация: 77 кг |
QUOTE(владмир @ Jul 10 2013, 14:49) ВДИ +звук+ кракозябры дают больше шансов не копать шмурдяк. да вкуривать все 3 параметра одновременно это жесть, я плотно работал с ГМП, поэтому для меня звук первичен, на ВДИ так посматриваю, кракозябры от лукавого имхо -------------------- Продавец индульгенций и поставщик религиозных реликвий
|
![]() |
![]() |
![]() |
![]() |
| владмир |
Jul 10 2013, 16:19
Создана
#19747
|
|
Профи ![]() ![]() ![]() ![]() ![]() ![]() Группа: Забанены Сообщений: 2,850 Зарегистрирован: 25-January 10 Из: Дикое поле. Пользователь №: 14,812 Пол: мужской Репутация: 158 кг |
Ну а мы с Деусом в люльке родились.С него не сделаешь по озвучке ни гмпе ни жимакса.
-------------------- Не ходите дети в Африку копать.
|
![]() |
![]() |
![]() |
![]() |
| DigIt |
Jul 10 2013, 19:50
Создана
#19748
|
|
Профи ![]() ![]() ![]() ![]() ![]() ![]() Группа: Забанены Сообщений: 1,554 Зарегистрирован: 18-April 10 Из: горы и холмы Пользователь №: 17,262 Пол: мужской Репутация: 1063 кг |
ну что ж... кратенько отчитаюсь о сегодняшнем сравнении 2.0 после ухода с 3.0. сразу скажу: пишу не для того, чтобы кого-то в чем-либо убеждать, я всего лишь делюсь своими впечатлениями. итак: место мусорное, сгинуло в 50х годах, железа немеряно, алюминия тоже. ходил там пару дней назад с 3.0, сегодня ходил по своим же следам уже на 2.0. железа на цветном блямкающем звуке копнул всего раз 5, и то для перепроверки самого себя (по звуку однозначно знал, что буду выкапывать именно железо). ни разу железный сигнал не издал монетного звука (в отличие от 3.0), ни разу монетный сигнал не улетел в ВДИ98 (в отличие от 3.0) и ни разу ни одну монету не снесло в чернину (в отличие от 3.0). глубина порадовала больше, чем на 3.0, там все цели были на глубине не более полштыка. здесь 2 коп Н2 со штыка, хоть и с плавающим от 70 до 91 ВДИ, но с копательным сигналом.
ну и лучше всяких слов фото. напомню, что это с 2.0 по собственным следам, где я прошел 2 дня назад с 3.0 и нашел 5 (!!!) полезных целей. настройки тонов, границ, и прочих параметров для программы relic использовались одинаковые. |
![]() |
![]() |
![]() |
![]() |
| olegte |
Jul 10 2013, 19:56
Создана
#19749
|
|
Бывалый ![]() ![]() ![]() Группа: Забанены Сообщений: 134 Зарегистрирован: 2-November 12 Пользователь №: 48,874 Металлоискатель: deus Репутация: 6 кг |
Вопрос для тех кто использовал 2,0 им , как вкл годограф
Спасибо |
![]() |
![]() |
![]() |
![]() |
| amino |
Jul 10 2013, 20:15
Создана
#19750
|
|
Старожил ![]() ![]() ![]() ![]() ![]() Группа: Забанены Сообщений: 728 Зарегистрирован: 21-February 11 Из: морской пучины Пользователь №: 26,727 Репутация: 41 кг |
QUOTE(olegte @ Jul 10 2013, 20:56) Вопрос для тех кто использовал 2,0 им , как вкл годограф Спасибо на предыдущей странице если не лень прочитайте... -------------------- Приобрету долги юридического лица, индивидуального предпринимателя.
|
![]() |
![]() |
![]() |
![]() |
| ОВК |
Jul 10 2013, 20:27
Создана
#19751
|
|
Старожил ![]() ![]() ![]() ![]() ![]() Группа: Забанены Сообщений: 687 Зарегистрирован: 27-April 11 Из: Томская обл. Пользователь №: 29,362 Пол: мужской Репутация: 63 кг |
QUOTE(DigIt @ Jul 10 2013, 19:50) ну что ж... кратенько отчитаюсь о сегодняшнем сравнении 2.0 после ухода с 3.0. сразу скажу: пишу не для того, чтобы кого-то в чем-либо убеждать, я всего лишь делюсь своими впечатлениями. итак: место мусорное, сгинуло в 50х годах, железа немеряно, алюминия тоже. ходил там пару дней назад с 3.0, сегодня ходил по своим же следам уже на 2.0. железа на цветном блямкающем звуке копнул всего раз 5, и то для перепроверки самого себя (по звуку однозначно знал, что буду выкапывать именно железо). ни разу железный сигнал не издал монетного звука (в отличие от 3.0), ни разу монетный сигнал не улетел в ВДИ98 (в отличие от 3.0) и ни разу ни одну монету не снесло в чернину (в отличие от 3.0). глубина порадовала больше, чем на 3.0, там все цели были на глубине не более полштыка. здесь 2 коп Н2 со штыка, хоть и с плавающим от 70 до 91 ВДИ, но с копательным сигналом. ну и лучше всяких слов фото. напомню, что это с 2.0 по собственным следам, где я прошел 2 дня назад с 3.0 и нашел 5 (!!!) полезных целей. настройки тонов, границ, и прочих параметров для программы relic использовались одинаковые. ![]() Спорить я конечно с вами не буду, что 2.0 лучше чем 3.0. С 3.0 ходил всего один выезд, но данный выезд меня очень порадовал, так как со мной рядом ходила практически вся линейка минелаба ( от 705 до 3030) и не поверите я их у делал по количеству находок. Прибор очень цепкий,главное внимательно слушать. На днях попробую 3.1 ( правда не знаю даст ли трава, т.к. она у нас прет уже по самые эти). Обязательно отпишусь. -------------------- Лучше старенький ТТ, чем дзюдо и каратэ.
|
![]() |
![]() |
![]() |
![]() |
| DigIt |
Jul 10 2013, 20:40
Создана
#19752
|
|
Профи ![]() ![]() ![]() ![]() ![]() ![]() Группа: Забанены Сообщений: 1,554 Зарегистрирован: 18-April 10 Из: горы и холмы Пользователь №: 17,262 Пол: мужской Репутация: 1063 кг |
QUOTE(ОВК @ Jul 10 2013, 21:27) Спорить я конечно с вами не буду, что 2.0 лучше чем 3.0. С 3.0 ходил всего один выезд, но данный выезд меня очень порадовал, так как со мной рядом ходила практически вся линейка минелаба ( от 705 до 3030) и не поверите я их у делал по количеству находок. Прибор очень цепкий,главное внимательно слушать. На днях попробую 3.1 ( правда не знаю даст ли трава, т.к. она у нас прет уже по самые эти). Обязательно отпишусь. да ну я ж не ради спора ну а то, что деус более цепок чем любой из минелабов, так это еще с прошивки 1.2 тенденция сохраняется |
![]() |
![]() |
![]() |
![]() |
| olegte |
Jul 10 2013, 20:45
Создана
#19753
|
|
Бывалый ![]() ![]() ![]() Группа: Забанены Сообщений: 134 Зарегистрирован: 2-November 12 Пользователь №: 48,874 Металлоискатель: deus Репутация: 6 кг |
QUOTE(amino @ Jul 10 2013, 20:15) на предыдущей странице если не лень прочитайте... По 2,0 я сам расказывал как вкл годограф еще пол года назад, а сейчас спрашивал по 2,0 с ИМ,совсем другое кино оказываеться |
![]() |
![]() |
![]() |
![]() |
| sid2008 |
Jul 10 2013, 21:00
Создана
#19754
|
|
Бывалый ![]() ![]() ![]() Группа: Забанены Сообщений: 122 Зарегистрирован: 26-March 13 Из: Минск Пользователь №: 54,615 Металлоискатель: Deus Xp 3.2 9" ,11" Пол: мужской Репутация: 18 кг |
QUOTE(olegte @ Jul 10 2013, 20:45) По 2,0 я сам расказывал как вкл годограф еще пол года назад, а сейчас спрашивал по 2,0 с ИМ,совсем другое кино оказываеться menu usine->outils->visualisation->XY |
![]() |
![]() |
![]() |
![]() |
| otkopaev |
Jul 10 2013, 21:17
Создана
#19755
|
|
Профи ![]() ![]() ![]() ![]() ![]() ![]() Группа: VIP Сообщений: 5,636 Зарегистрирован: 21-April 10 Из: деревни Тёплое Пользователь №: 17,371 ![]() ![]() ![]() Металлоискатель: IQ 900 Пол: мужской Репутация: 436 кг |
QUOTE(DigIt @ Jul 10 2013, 20:50) ну что ж... кратенько отчитаюсь о сегодняшнем сравнении 2.0 после ухода с 3.0. сразу скажу: пишу не для того, чтобы кого-то в чем-либо убеждать, я всего лишь делюсь своими впечатлениями. итак: место мусорное, сгинуло в 50х годах, железа немеряно, алюминия тоже. ходил там пару дней назад с 3.0, сегодня ходил по своим же следам уже на 2.0. железа на цветном блямкающем звуке копнул всего раз 5, и то для перепроверки самого себя (по звуку однозначно знал, что буду выкапывать именно железо). ни разу железный сигнал не издал монетного звука (в отличие от 3.0), ни разу монетный сигнал не улетел в ВДИ98 (в отличие от 3.0) и ни разу ни одну монету не снесло в чернину (в отличие от 3.0). глубина порадовала больше, чем на 3.0, там все цели были на глубине не более полштыка. здесь 2 коп Н2 со штыка, хоть и с плавающим от 70 до 91 ВДИ, но с копательным сигналом. ну и лучше всяких слов фото. напомню, что это с 2.0 по собственным следам, где я прошел 2 дня назад с 3.0 и нашел 5 (!!!) полезных целей. настройки тонов, границ, и прочих параметров для программы relic использовались одинаковые. ![]() Отлично! А у меня чашуй какойто с орлом,ходячка, советик, три империи и пять пломб, на поле был первый раз но копанно было капитально...чашуй вди 47, отстраивался как и на 2.0. Фаст и реликвия. Фото овно с телефона, завтра покажу ща на даче не могу грузануть, файлы большие. Забираю свои слова обратно по поводу пятого тона на 100 герц...тяжело слушать. По глубине с 2.0 разницы не ощутил, вырезка грунта вроде как на отклик невакапанного никак не влиял, так что пока не понятно. |
![]() |
![]() |
![]() |
![]() |
| хан |
Jul 10 2013, 21:32
Создана
#19756
|
|
Профи ![]() ![]() ![]() ![]() ![]() ![]() Группа: Посетители Сообщений: 5,079 Зарегистрирован: 4-July 09 Из: Россия Пользователь №: 10,855 ![]() ![]() Пол: мужской Репутация: 939 кг |
QUOTE(otkopaev @ Jul 10 2013, 22:17) ...вырезка грунта вроде как на отклик незакапанного никак не влиял, так что пока не понятно. "Вырезка" больше влияет на глубинные цели, которые мы не слышим из-за сильно фонящего грунта. |
![]() |
![]() |
![]() |
![]() |
| sash_voyager |
Jul 10 2013, 21:48
Создана
#19757
|
|
Пользователь ![]() ![]() Группа: Забанены Сообщений: 60 Зарегистрирован: 14-June 12 Пользователь №: 44,233 Металлоискатель: AT Pro, XP GMP Пол: мужской Репутация: 2 кг |
Приветствую господа вернулся с морей, тестировал прошивку 3.1 Сразу вылез глюк отстройки Г Б в пляжном режиме. С наушников нажимая - закидывало до значения Г Б +93 и назад опускалось при нажатии + до 32 и замерало. Пляжная 7 программа после перезагрузки возвращалась в исходное положение а 10 прииск так и не вернулась осталась в зависшем состоянии.
|
![]() |
![]() |
![]() |
![]() |
| otkopaev |
Jul 10 2013, 22:16
Создана
#19758
|
|
Профи ![]() ![]() ![]() ![]() ![]() ![]() Группа: VIP Сообщений: 5,636 Зарегистрирован: 21-April 10 Из: деревни Тёплое Пользователь №: 17,371 ![]() ![]() ![]() Металлоискатель: IQ 900 Пол: мужской Репутация: 436 кг |
QUOTE(хан @ Jul 10 2013, 22:32) "Вырезка" больше влияет на глубинные цели, которые мы не слышим из-за сильно фонящего грунта. Хорошо это или плохо пока не знаю, но то что горячие камни отсекает это точно! Нужно проверить на цель под таким камнем! |
![]() |
![]() |
![]() |
![]() |
| TIM fromKLD |
Jul 10 2013, 22:36
Создана
#19759
|
|
Постоянный ![]() ![]() ![]() ![]() Группа: Забанены Сообщений: 227 Зарегистрирован: 10-July 13 Из: Анклав 39 Пользователь №: 58,168 Металлоискатель: Deus Пол: мужской Номер карты: 4276....8181 Репутация: 102 кг |
QUOTE(terrano @ Jul 9 2013, 22:09) Не... "Мы пойдем другим путем" ®. Дискрим 0 всегда. Это только первые 2-3 выхода тяжело. Точнее первые 2-3 часа из этих выездов. Потом мозг адаптируется (наверное не хочет никуда сходить). И вот тогда открываются новые горизонты познания... Прям таки ясновидение. При таком дискриме какой звук железа делать? (и просьба объяснить, что дает увеличение и уменьшение звука железа и перегрузки) с остальным вроде разобрался Прочел сотню последних страниц и инструкцию, но не нашел внятного ответа Просьба не пинать новичка Сообщение отредактировано TIM fromKLD: Jul 10 2013, 22:38 |
![]() |
![]() |
![]() |
![]() |
| Юрий Канцлер |
Jul 11 2013, 07:32
Создана
#19760
|
|
Бывалый ![]() ![]() ![]() Группа: Забанены Сообщений: 157 Зарегистрирован: 4-November 11 Пользователь №: 35,611 Репутация: 3 кг |
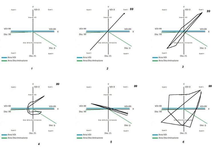
QUOTE(sid2008 @ Jul 10 2013, 14:05) Одни говорят нужен другие говорят нет (Скока людей стока и мнений как обычно ))) ) если б кто разжевал как с ним работать или ссылку там где разжевано кинул... пояснению к рисунку 1. вектограф на чистом месте 2. Чистый монетный круглый сигнал ровная полоса при вдви 98-99 3. при томже вдви но графика чуть разорваная при таком сигнали тож копну что бы проверить если потом графика как на рис 2 то точна монета или круглый цветняк если показывает как на рис 4 это цветняк не монетный может быть и фольга может быть и цветной кусочек тут уже слух звука и вдви определяет. Рис 5 железо, если графика как на рис 6 это точна большая пластина ржавого железа Вложенные эскизы изображений |
![]() |
![]() |
![]() ![]() ![]() |
| Упрощенная Версия · Рекламодателям | Сейчас: 23rd December 2025 - 19:22 | |
![]() |