
![]() |
![]() |
Здравствуйте, Гость ( Авторизация | Регистрация )
![]() |
![]() |
![]() ![]() ![]() |
![]() |
![]() |
| трое из леса |
Mar 24 2013, 09:29
Создана
#1
|
|
Старожил ![]() ![]() ![]() ![]() ![]() Группа: Посетители Сообщений: 777 Зарегистрирован: 19-December 12 Из: Алтайский край Пользователь №: 50,656 Пол: мужской Репутация: 68 кг |
Комплект Деус-лайт, без пульта. Пульт Деуса берём напрокат на вечер.
Вопрос: как грамотно настроить программы в блоке наушников для автономной работы под различные условия поиска? Учитывая что в блоке наушников не регулируется: 1. Скорость 2. Шумодав 3. Ток в катушке 4. Регулировка тонов 5. Громкость железа 6. Звуковой отклик 7. Метка и смещение частот (не нужны) PS: Нужно сохранить в программах блока наушников сочетания настроек на разные условия поиска, с учётом отсутствия 7 перечисленных. Сообщение отредактировано трое из леса: Mar 24 2013, 11:27 |
![]() |
![]() |
![]() |
![]() |
| MS |
Mar 24 2013, 09:51
Создана
#2
|
|
Профи ![]() ![]() ![]() ![]() ![]() ![]() Группа: Посетители Сообщений: 1,534 Зарегистрирован: 29-August 09 Пользователь №: 11,743 Пол: мужской Репутация: 104 кг |
Офтоп. Были мысли обзавестись версией Лайт по причине материальных ограничений. Некоторое время читал мануал, форум и поразмыслив - понял, что идея с версией Лайт - от лукавого. Решил повременить с покупкой до времен, когда позволю себе полноценный прибор. По теме предлагаю не заморачиваться, купить блок и получать от жизни удовольствие. Нет возможности купить - пользоваться ГМП.
|
![]() |
![]() |
![]() |
![]() |
| kolanattt |
Mar 24 2013, 10:37
Создана
#3
|
|
Профи ![]() ![]() ![]() ![]() ![]() ![]() Группа: VIP Сообщений: 5,575 Зарегистрирован: 2-July 12 Пользователь №: 44,875 ![]() ![]() Металлоискатель: ISTF Пол: мужской Репутация: 334 кг |
Включаешь и блок и уши (если блок чужой - вносишь свою катушку в меню блока).
Производишь настройку нужных пунктов меню так, как самому хочется. Сохраняешь произведённые настройки (на блоке). Выключаешь блок - настройки сохраняются в ушах. Выключаешь уши. ...Вроде так делал... ps: Нет возможности купить - пользоваться ГМП. Ехал покупать как раз ГМП. Разница в деньгах с Лайтом оказалась копеечная. Взял Лайт (4 частоты супротив одной, легче, без проводов). Правда, недели полторы походив с ним - съездил таки за блоком - люблю законченые вещи Сообщение отредактировано kolanattt: Mar 24 2013, 10:46 -------------------- ЛИЧКА НЕ РАБОТАЕТ!
ПОЧТА В ПРОФИЛЕ...[SIZE=14] |
![]() |
![]() |
![]() |
![]() |
| SWW |
Mar 24 2013, 10:42
Создана
#4
|
|
Старожил ![]() ![]() ![]() ![]() ![]() Группа: Забанены Сообщений: 896 Зарегистрирован: 11-November 08 Из: Понт Эвксинский Пользователь №: 6,487 Пол: мужской Репутация: 103 кг |
ХП программки не хватает, чтобы на компе настройки в блок наушников вносить...
-------------------- Жизнь прекрасна!
|
![]() |
![]() |
![]() |
![]() |
| EDemon |
Mar 24 2013, 22:14
Создана
#5
|
|
Бывалый ![]() ![]() ![]() Группа: Забанены Сообщений: 170 Зарегистрирован: 26-February 11 Из: Южные рубежи России Пользователь №: 26,992 Репутация: 28 кг |
QUOTE(MS @ Mar 24 2013, 10:51) Офтоп. Были мысли обзавестись версией Лайт по причине материальных ограничений. Некоторое время читал мануал, форум и поразмыслив - понял, что идея с версией Лайт - от лукавого. Решил повременить с покупкой до времен, когда позволю себе полноценный прибор. По теме предлагаю не заморачиваться, купить блок и получать от жизни удовольствие. Нет возможности купить - пользоваться ГМП. ГМП очень далеко до Лайта -------------------- Все ли грибы можно есть? Все! Но некоторые только один раз...
|
![]() |
![]() |
![]() |
![]() |
| emelya |
Mar 24 2013, 23:08
Создана
#6
|
|
Постоянный ![]() ![]() ![]() ![]() Группа: Забанены Сообщений: 414 Зарегистрирован: 30-March 09 Из: Москва Пользователь №: 8,868 Металлоискатель: Ace-150 Пол: мужской Репутация: 130 кг |
QUOTE(SWW @ Mar 24 2013, 11:42) ХП программки не хватает, чтобы на компе настройки в блок наушников вносить... Ваши бы слова да Богу в уши. Было бы замечательно, посидел вечерком, настроил как нравится и гоняй их. На то он и лайт комплект чтобы не конкурировать с полным. |
![]() |
![]() |
![]() |
![]() |
| MS |
Mar 25 2013, 11:55
Создана
#7
|
|
Профи ![]() ![]() ![]() ![]() ![]() ![]() Группа: Посетители Сообщений: 1,534 Зарегистрирован: 29-August 09 Пользователь №: 11,743 Пол: мужской Репутация: 104 кг |
А Лайт версия Дуса официально продается или это вынужденный раскомплект для России?
|
![]() |
![]() |
![]() |
![]() |
| dandasana |
Apr 14 2013, 20:36
Создана
#8
|
|
Постоянный ![]() ![]() ![]() ![]() Группа: Забанены Сообщений: 420 Зарегистрирован: 5-February 10 Из: Россия Пользователь №: 15,140 Пол: мужской Репутация: 34 кг |
Если настройки изменить для наушников, то может оказаться такое положение , в котором результативность нахождения целей здорово снизиться. Думаю это особого прироста в поиске не даст. Лучше оставить заводские настройки , но из инструкции к Деусу с пометкой на заметку.
-------------------- Хочешь всего и сразу, а получаешь ничего и постепенно. Жванецкий
|
![]() |
![]() |
![]() |
![]() |
| ewgeshi |
Feb 25 2014, 00:39
Создана
#9
|
|
Постоянный ![]() ![]() ![]() ![]() Группа: Посетители Сообщений: 254 Зарегистрирован: 20-February 11 Из: 01 RUS Пользователь №: 26,700 Пол: мужской Репутация: 54 кг |
Вопрос к людям владеющим информацией по настройке БГ на Лайте,как лучше это делать?Или так,просто забить и ходить на 90?
|
![]() |
![]() |
![]() |
![]() |
| трое из леса |
Feb 25 2014, 03:27
Создана
#10
|
|
Старожил ![]() ![]() ![]() ![]() ![]() Группа: Посетители Сообщений: 777 Зарегистрирован: 19-December 12 Из: Алтайский край Пользователь №: 50,656 Пол: мужской Репутация: 68 кг |
QUOTE(ewgeshi @ Feb 25 2014, 00:39) Вопрос к людям владеющим информацией по настройке БГ на Лайте,как лучше это делать?Или так,просто забить и ходить на 90? Регулировка БГ на наушниках есть. |
![]() |
![]() |
![]() |
![]() |
| ewgeshi |
Feb 25 2014, 09:08
Создана
#11
|
|
Постоянный ![]() ![]() ![]() ![]() Группа: Посетители Сообщений: 254 Зарегистрирован: 20-February 11 Из: 01 RUS Пользователь №: 26,700 Пол: мужской Репутация: 54 кг |
Да это понятно,вопрос как это правильно делать и делать ли вообще.
|
![]() |
![]() |
![]() |
![]() |
| Renegade D |
Mar 5 2014, 12:50
Создана
#12
|
|
Новичок ![]() Группа: Забанены Сообщений: 2 Зарегистрирован: 11-February 14 Пользователь №: 64,973 Металлоискатель: Deus Интересы: History Пол: мужской Репутация: нет |
Могу посоветовать два варианта:
1 - настраивать БГ на глазок: песок речной-85, песок лесной-80, чернозем-75 и т.д. 2 - настраивать БГ на слух: снижать значение БГ до появления фантомных сигналов (гул, писки-трески) У меня один камрад ваще ставит на все случаи жизни тупо БГ 80. И ниче так - на находки не жалуется (хоть у него и блок имеется) |
![]() |
![]() |
![]() |
![]() |
| ewgeshi |
Mar 5 2014, 21:44
Создана
#13
|
|
Постоянный ![]() ![]() ![]() ![]() Группа: Посетители Сообщений: 254 Зарегистрирован: 20-February 11 Из: 01 RUS Пользователь №: 26,700 Пол: мужской Репутация: 54 кг |
Спасибо за ответ! Примерно так и хочу поступить, снижать до фантомов.
|
![]() |
![]() |
![]() |
![]() |
| ewgeshi |
Mar 18 2014, 13:27
Создана
#14
|
|
Постоянный ![]() ![]() ![]() ![]() Группа: Посетители Сообщений: 254 Зарегистрирован: 20-February 11 Из: 01 RUS Пользователь №: 26,700 Пол: мужской Репутация: 54 кг |
может кто нибудь написать какие настройки реактивити, шумодава стоят на заводских программах в прошивке 3.2,особенно интересно 5,6,8,9,10 программы.Блока нет,а знать хочется.
Сообщение отредактировано ewgeshi: Mar 18 2014, 13:31 |
![]() |
![]() |
![]() |
![]() |
| трое из леса |
Mar 18 2014, 14:14
Создана
#15
|
|
Старожил ![]() ![]() ![]() ![]() ![]() Группа: Посетители Сообщений: 777 Зарегистрирован: 19-December 12 Из: Алтайский край Пользователь №: 50,656 Пол: мужской Репутация: 68 кг |
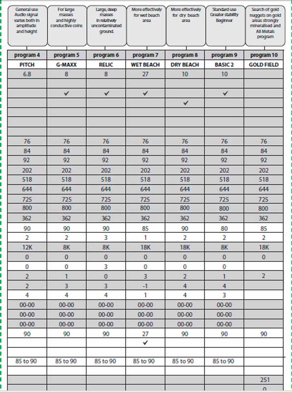
QUOTE(ewgeshi @ Mar 18 2014, 13:27) может кто нибудь написать какие настройки реактивити, шумодава стоят на заводских программах в прошивке 3.2,особенно интересно 5,6,8,9,10 программы.Блока нет,а знать хочется. Вот скриншоты страниц инструкции с заводскими настройками: Сообщение отредактировано трое из леса: Mar 18 2014, 14:16 Вложенные эскизы изображений |
![]() |
![]() |
![]() |
![]() |
| ewgeshi |
Mar 18 2014, 14:25
Создана
#16
|
|
Постоянный ![]() ![]() ![]() ![]() Группа: Посетители Сообщений: 254 Зарегистрирован: 20-February 11 Из: 01 RUS Пользователь №: 26,700 Пол: мужской Репутация: 54 кг |
спасибо, буду изучать.И еще вопрос по прошивке 3.2,судя по тесту Вадяна годичной давности,при опускании дискрима в 0,шумодав не работает,а по моим ощущениям на 3.2 измений не заметил .
Сообщение отредактировано ewgeshi: Mar 18 2014, 16:01 |
![]() |
![]() |
![]() |
![]() |
| ewgeshi |
Apr 3 2014, 21:54
Создана
#17
|
|
Постоянный ![]() ![]() ![]() ![]() Группа: Посетители Сообщений: 254 Зарегистрирован: 20-February 11 Из: 01 RUS Пользователь №: 26,700 Пол: мужской Репутация: 54 кг |
Прошу прощения,главное не заметил на видео-линейка имени Влади с ферритом имитирующим сложный грунт.Вопрос снимается.
|
![]() |
![]() |
![]() |
![]() |
| ВаДяН |
Apr 3 2014, 22:16
Создана
#18
|
|
Профи ![]() ![]() ![]() ![]() ![]() ![]() Группа: Забанены Сообщений: 8,145 Зарегистрирован: 16-June 08 Из: Ярославка, мать её. Пользователь №: 4,921 ![]() ![]() ![]() Репутация: 512 кг |
QUOTE(трое из леса @ Mar 24 2013, 10:29) Вопрос: как грамотно настроить программы в блоке наушников для автономной работы под различные условия поиска? Даю подсказку. 1) Берёте блок. 2) Прописываете катушку. 3) Вкл наушники. 4) При помощи блока настраиваете нужную программу под себя. 5) Жмёте меню-программы-сохранить. Называте программу. Сохраняете. 6) Берёте следущую программу изменяете, сохраняете под следующим номером. 7) Берёте ещё программу........................... 8) Выключаете блок. 9) Выключаете уши. Придя на поле без блока, включаете уши и нажимая кнопочку меню находите подпункт с буковкой "Р". Нажимая "+" или "-" выбираете программу под нужным номером из вновь созданых. Они все останутся в наушниках. -------------------- Дворянство по-французски ни бельмеса. Фурье не читают. А в народе мрак, дичь и отупение.
|
![]() |
![]() |
![]() |
![]() |
| ewgeshi |
Apr 4 2014, 08:21
Создана
#19
|
|
Постоянный ![]() ![]() ![]() ![]() Группа: Посетители Сообщений: 254 Зарегистрирован: 20-February 11 Из: 01 RUS Пользователь №: 26,700 Пол: мужской Репутация: 54 кг |
QUOTE(ВаДяН @ Apr 3 2014, 23:16) Даю подсказку. 1) Берёте блок. 2) Прописываете катушку. 3) Вкл наушники. 4) При помощи блока настраиваете нужную программу под себя. 5) Жмёте меню-программы-сохранить. Называте программу. Сохраняете. 6) Берёте следущую программу изменяете, сохраняете под следующим номером. 7) Берёте ещё программу........................... 8) Выключаете блок. 9) Выключаете уши. Придя на поле без блока, включаете уши и нажимая кнопочку меню находите подпункт с буковкой "Р". Нажимая "+" или "-" выбираете программу под нужным номером из вновь созданых. Они все останутся в наушниках. Спасибо Вадян!Я конечно так и поступлю,просто с первым пунктом Вашей инструкции проблема,вот поэтому и все мои вопросы.С уважением. |
![]() |
![]() |
![]() |
![]() |
| roxette |
Apr 27 2014, 15:08
Создана
#20
|
|
Старожил ![]() ![]() ![]() ![]() ![]() Группа: Забанены Сообщений: 602 Зарегистрирован: 1-March 10 Из: Просторы Родины Пользователь №: 15,810 Металлоискатель: Whites Spectra V3i Интересы: * Пол: мужской Репутация: 169 кг |
Вот всеже здесь идет речь о радиоушах, у меня вот кокой вопрос, есть катушка с прошивкой 3.2 Радиоуши с прошивкой 2.0 подойдут или только тоже 3.2 Прошу не ругать сильно
-------------------- номер карты с.б. *****5581
|
![]() |
![]() |
![]() ![]() ![]() |
| Упрощенная Версия · Рекламодателям | Сейчас: 7th February 2026 - 20:55 | |
![]() |